微带线特性阻抗计算器 | 微带线阻抗计算软件 | 微带线阻抗计算公式

在射频电路及高速数字电路设计的过程中,传输线阻抗控制必不可少。微带线是最受欢迎的传输线形式,给定微带线线宽,微带线厚度,PCB板材的相对介电常数εr ,这款计算器便可以快速地计算出微带线的特征阻抗Zo,而且这款计算器的准确度丝毫不逊于商业软件。

以下为微带线特性阻抗计算器(计算软件):

[diagram of PCB layers]

 

相对介电常数 εr  
微带线线宽 W  毫米  
微带线厚度 t  毫米 等效介电常数 (εeff): 
介质层厚度 h  毫米 特征阻抗 (Zo):    欧姆 
 
 

微带线特征阻抗计算器使用JavaScript脚本,支持所有的主流浏览器。


关于相对介电常数εr 与等效介电常数εeff

[calculation formula]

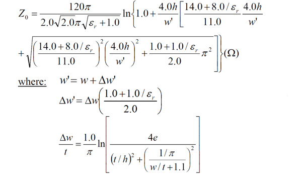
微带线阻抗计算公式:

关于微带线特征阻抗Zo

[calculation formula]

分类在线工具

科学计算器

元器件在线计算

RF/射频计算器

经典电路计算器

电阻计算器

电感计算器

其他计算器